In This Issue:
- News & Highlights
IPFD Annual Report 2022:
A New Chapter
-
Make a Donation
- Stay Informed!
DonateDid you find our content interesting or helpful? Help support the IPFD enhance health, well-being and welfare for dogs everywhere.
In This Issue:
IPFD Annual Report 2022:
A New Chapter
News & Highlights
News from IPFD
IPFD is pleased to announce that Italy’s national kennel club, ENCI - Ente Nazionale della Cinofilia Italiana, has joined national kennel clubs from Canada, Finland, France, Germany, Ireland, Norway, Sweden, and the United Kingdom as an IPFD Contributing Partner.
“We’re truly delighted to welcome ENCI to our global community, and we very much look forward to working with our new partners for the benefit of dogs throughout Italy and around the world,” says IPFD Chair Dr. Pekka Olson.
“The ENCI Board of Directors has strongly supported joining the IPFD because the exchange of information on genetic studies is considered a priority for the future of dog lovers in order to provide breeders with the necessary tools to protect the health of dog breeds and to promote biodiversity,” says ENCI President Dino Muto.
Press Release: IPFD Press Release - ENCI Partnership FINAL.pdf
----------------
IPFD Virtual Meeting: Breeding for Health and Purpose - Tuesday, August 1, 2023 - Presented by IPFD and Orivet
IPFD and Orivet (official sponsor of IPFD Virtual Meetings - Oceania Region for 2023-2024) are excited to present this free online event.
Target Audience:
Responsible dog breeders at all stages of experience. All are welcome, but the timing of this event has been set to best accommodate our Oceana Region friends (including Australia, New Zealand, Melanesia, Micronesia, and Polynesia). We hope to add additional events in other time zones throughout 2023-2024.
Aim:
This online session aims to help dog breeders to develop holistic breeding plans that improve health and welfare, as well as to meet the goals of the breeder using evidence-based tools balancing the art and science of dog breeding.
Presenters:
Join canine expert Myrna Shiboleth on “Breeding for a Purpose” and Aimee Llewellyn-Zaidi on “Making the Most of Genetic Testing”.
Date/Time:
Tuesday, August 1, 2023 | 6:30PM AEST (UTC/GMT +10hrs)
Start Times for Key Time Zones
Los Angeles: 1:30am PDT (UTC/GMT -7hrs)
New York: 4:30am EDT (UTC/GMT -4hrs)
Toronto: 4:30am EDT (UTC/GMT -4hrs)
London: 9:30am BST (UTC/GMT +1hr)
Stockholm: 10:30am CEST (UTC/GMT +2hrs)
Perth: 4:30pm AWST (UTC/GMT +8hrs)
Adelaide: 6:00pm ACST (UTC/GMT +9:30hrs)
Canberra: 6:30pm AEST (UTC/GMT +10hrs)
Wellington: 8:30pm NZST (UTC/GMT +12hrs)
Learn, Connect, and Earn!
Orivet has kindly offered $10 in Orivet Loyalty Points for those who register and are interested in using Orivet's products and services.
-------------
of IPFD with regards to animal welfare at the July 10th meeting of the FEDIAF Animal Welfare Taskforce. The FEDIAF is the trade body representing the European pet food industry, including 15 national trade associations and five companies (Affinity Petcare, Hill’s Pet Nutrition, Mars PetCare, Nestlé Purina Petcare, and WellPet).
Breeds Resources
Breeds of the Month
★ This Month We Feature The English Setter ★
Brief Description:
The English Setter is a medium size breed of dog. It is part of the Setter family, which includes the red Irish Setters, Irish Red and White Setters, and black-and-tan Gordon Setters. Source: Wikipedia
NEW: Get a GRIHP! on English Setters is part of a series to highlight the Big Picture of health, welfare, and breeding and to help develop Globally Relevant Integrated Health Profiles (GRIHPs) for many breeds.

More information on the English Setter on DogWellNet.com
Updated Breed Profiles
We recently updated the profile for the Canaan Dog in our Pedigree Breeds Database, which includes content on Canaan Dog expert Myrna Shiboleth's work. Myrna is also presenter at our August 1st webinar, Breeding for Health and Purpose (see details above).
The Bernese Mountain Dog profile has been updated to reflect changes on the Bernese Mountain Dog Club of America's website to available health information.
We've added breed club links to our Flat-Coated Retriever and Rhodesian Ridgeback profiles at the request of our members.
Visit our searchable Pedigree Breeds Database for extensive profiles on 180+ breeds from around the world.
IPFD Partners in Action
In the latest edition: Meet the English Setter – Update Your Knowledge! You can also view previous editions of Dog Breeds: What You Need to Know in our archive article here on DogWellNet.com.
In her post, Finland is a pioneer in cross breeding - 2023 - Crossbreeding Projects for Cavalier King Charles Spaniels and French Bulldogs, IPFD's Business and Project Coordinator, Katariina Mäki, shares details of Finland's pioneering efforts in cross breeding for these breeds.
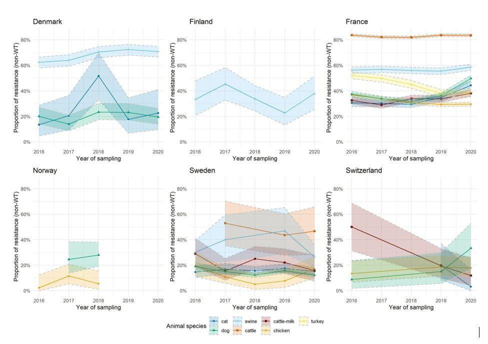
risk to public health. However, there are no harmonised control and monitoring programmes established in the EU, highlighting the need to create a joint plan to combat the evolution of AMR in companion animals, encompassing this concern under the One Health concept."
IPFD Annual Report 2022:
A New Chapter
We're proud to present IPFD Annual Report 2022: A New Chapter. See what we accomplished together in 2022 and our plans to advance our mission of enhancing dog health, well-being, and welfare and to support human-dog interactions.
Thanks to everyone who has supported IPFD and participated in our work!
View Our 2022 Annual Report Here
Make a Donation
IPFD is truly a "people driven" service organization. We allocate the bulk of our financial resources to maintain a small but dedicated team of consultants to manage our modest resources and facilitate the activities of our stakeholders, with the aim of achieving our collective goals.
You can specify how your donation is used (support IPFD and its programs and activities OR support the Harmonization of Genetic Testing for Dogs). All donations are handled securely via PayPal.
Select one of the options below to make a donation now.
Stay Informed
Members can opt to receive notifications by email. Are you on our email list? Click here to edit your Notification Settings (you must be logged in to your account).
Viewing as a Guest? Sign in or register now to get the most out of DogWellNet.com.
Click an icon below to visit our social media sites:
By using this site, you agree to our Terms of Use.
Recommended Comments
There are no comments to display.
Join the conversation
You can post now and register later. If you have an account, sign in now to post with your account.
Note: Your post will require moderator approval before it will be visible.